

某云計算客戶面向全世界各個國家和地區的政府機構、企業組織和個人開發者,提供全球領先的云計算、大數據、人工智能等技術產品與服務,以卓越的科技能力打造豐富的行業解決方案,構建開放共贏的云端生態,推動產業互聯網建設,助力各行各業實現數字化升級。
行業規模不斷擴大:公有云的規模逐步擴大,業界各種大數據業務架構日益增多,部分客戶對IAAS層的存儲性能提出了更高的要求。
能耗增速加快:云和數據中心的單個CPU核數越來越大,物理盤無法單獨做拆分,導致單個虛擬機實例的核數隨之增多,每個虛擬機對應均要占用一個PCIe槽位。
業務需求多樣化:為了更加靈活的為客戶提供各種規格的本地盤,亟需可支持SR-IOV的NVMe SSD。
高性能存儲提升業務效率:憶聯在早期規劃SR-IOV特性時就從控制器層面做了很多優化設計,基于硬件能力規劃了QoS的能力,可以做到多塊虛擬SSD硬盤之間性能隔離。
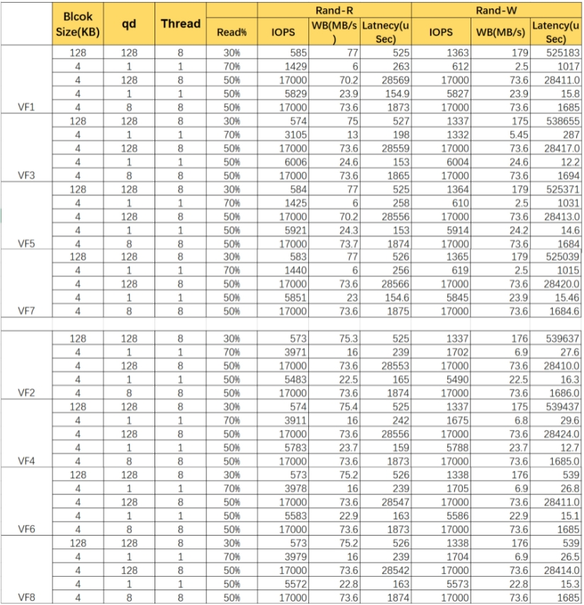
為了驗證QoS的能力,在1分8的場景下,對SSD進行了充分的性能測試驗證。數據顯示:在SR-IOV特性上,憶聯的QoS能力表現不俗,隔離效果明顯,基本可以做到在業務使用場景下相互之間并無影響,確保使用SR-IOV以后,也依然可以保障虛擬SSD盤的大帶寬、低時延。
一套存儲可滿足多種應用場景:憶聯在設計SR-IOV之初,為了保障產品的高性能與高可靠性,對業務使用流程上的需求也進行了全面的考慮與分析,使得憶聯的SR-IOV特性得以在各種業務流程和異常場景中都有應對的方案和措施。
測試驗證表明,憶聯的SR-IOV在新盤接入,盤片掉電恢復,異常換盤三種場景下均有比較高的可靠性保障方案,以保證在多種場景下的業務運行的穩定性、連續性。
地址:深圳市南山區記憶科技后海中心B座19樓
電話:0755-2681 3300
郵箱:support@unionmem.com
